Captain Aviation Academy

Pilot License Conversion - From a Foreign Pilot License to an Indian Pilot License

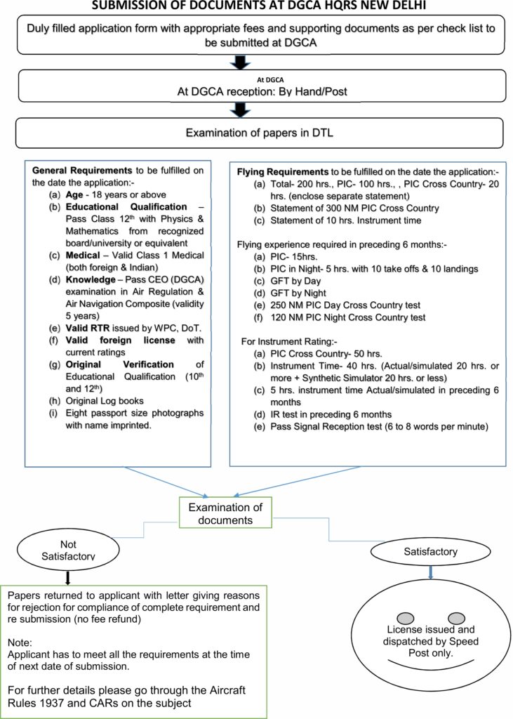
If you hold a professional pilot’s license issued by an ICAO contracting state, you may apply for its conversion to an Indian Commercial Pilot License (CPL) or Airline Transport Pilot License (ATPL). This process follows DGCA guidelines under CAR Section – 7, Series ‘G,’ Part-I, covering critical aspects such as age, educational qualifications, medical fitness, flying experience, and competency. Meeting these requirements ensures a smooth transition for international pilots seeking to operate in India.

Pilot Training Institute in Mumbai
Pilot license coversion

Steps for Conversion

Applicants must undergo skill tests in India on at least one aircraft type that will be endorsed on the Indian CPL.

If your foreign license does not include an IR issued by the contracting state, you’ll need to complete an IR skill test in India.

Submit authenticated original logbooks maintained for your foreign license. Logbooks must contain verified records of dates, aircraft type, PIC hours, and stages of training.

Aircraft types for conversion must be registered in India and have a valid Certificate of Airworthiness. For aircraft not registered in India, additional training and testing are required.

Required Documents from the Foreign Country

  • Valid foreign professional pilot’s license.
  • Valid foreign Class-I medical assessment from the issuing state.
  • Statements confirming specific cross-country and night flying requirements, including:
    • 20 hours PIC cross-country flights (50 hours if IR is also requested).
    • Cross-country flight of at least 300 NM with two full-stop landings.
    • 5 hours of PIC night flying with 10 take-offs and landings within the preceding six months.
  • For IR: Minimum 40 hours instrument time (20 on actual/simulated aircraft, 20 in a simulator).
  • Verification of English Language Proficiency (ELP).

In-India Requirements Before Application Submission

  1. Skill Tests

Complete the following tests within six months of applying:

  • General flying tests (day and night).
  • Cross-country flight tests by day (250 NM with one full-stop landing).
  • Cross-country flight test by night (120 NM, returning to the point of origin without landing).
  • IR skill test (if IR is desired).

  1. Exams and Certifications
  • Pass DGCA’s Air Regulation and Composite (Met + Navigation) papers within 60 months of application.
  • Complete signal reception tests if not done in the foreign training state.
  • Ensure a valid Indian Class-I medical assessment.
  • Hold a valid Indian RTR(A) license if not issued previously.

Obtain board verification certificates for 10th and 12th-grade education with separate passes in Physics and Maths.


  1. Fees
  • Pay the applicable conversion fees through the Bharat Kosh website as prescribed in the Aircraft Rules, 1937.
license conversion

Program Stages

Additional Notes

  • Multi-Engine Endorsement: Applicants wishing to convert their CPL for multi-engine aircraft must complete all skill tests on the specific aircraft type in India.
  • Language Proficiency: Aviation English proficiency is mandatory; applicants may need to complete ELP certification in India if not validated on their foreign license.
 

By fulfilling these requirements, applicants can efficiently convert their foreign pilot’s license to an Indian CPL, meeting DGCA’s standards and positioning themselves for a successful career in India’s aviation industry.

ATPL course
DGCA FLOW CHART